IJSRMT Impact Factor 2026
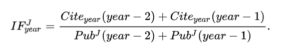
IJSRMT Impact Factor (2026) is 5.37
[Ref source: https://en.wikipedia.org/wiki/Impact_factor]
Year = 2026
Number of Citation for 2024 & 2025 articles :- 1799
Number of publication in 2024 & 2025 :- 335

Impact Factor (2026) = 1799 / 335 = 5.37
References
[1]. https://en.wikipedia.org/wiki/Impact_factor
[2]. https://ijsrmt.com/index.php/ijsrmt/issue/archive